R package arulesNBMiner - Mining NB-Frequent Itemsets and NB-Precise Rules

Package on CRAN CRAN RStudio mirror downloads License r-universe status

This R package extends package arules with NBMiner, an implementation of the model-based mining algorithm for mining NB-frequent itemsets presented in “Michael Hahsler. A model-based frequency constraint for mining associations from transaction data. Data Mining and Knowledge Discovery, 13(2):137-166, September 2006.”

In addition an extension for NB-precise rules is implemented.

Installation

Stable CRAN version: Install from within R with

install.packages("arulesNBMiner")

Current development version: Install from r-universe.

install.packages("arulesNBMiner",
    repos = c("https://mhahsler.r-universe.dev",
              "https://cloud.r-project.org/"))

Usage

Estimate NBD model parameters for the Agrawal data set.

library("arulesNBMiner")
data("Agrawal")

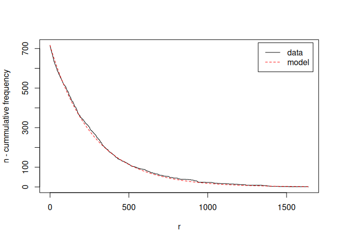
param <- NBMinerParameters(Agrawal.db, pi = 0.99, theta = 0.5, maxlen = 5, minlen = 1,
    trim = 0, verbose = TRUE, plot = TRUE)
## using Expectation Maximization for missing zero class
## iteration = 1 , zero class = 3 , k = 0.99 , m = 278 
## iteration = 2 , zero class = 3 , k = 0.99 , m = 278 
## total items =  719

Mine NB-frequent itemsets

itemsets_NB <- NBMiner(Agrawal.db, parameter = param, control = list(verb = TRUE,
    debug = FALSE))
## 
## parameter specification:
##    pi theta   n    k      a minlen maxlen rules
##  0.99   0.5 719 0.99 0.0014      1      5 FALSE
## 
## algorithmic control:
##  verbose debug
##     TRUE FALSE

Inspect some itemsets with the highest precision.

inspect(head(itemsets_NB, by = "precision"))
##     items                                        precision
## [1] {item220, item956, item964}                  1        
## [2] {item510, item667, item885}                  1        
## [3] {item452, item956, item964}                  1        
## [4] {item60, item173, item417, item440, item831} 1        
## [5] {item258, item452, item956}                  1        
## [6] {item149, item231, item611}                  1

References